| 일 | 월 | 화 | 수 | 목 | 금 | 토 |
|---|---|---|---|---|---|---|
| 1 | 2 | 3 | ||||
| 4 | 5 | 6 | 7 | 8 | 9 | 10 |
| 11 | 12 | 13 | 14 | 15 | 16 | 17 |
| 18 | 19 | 20 | 21 | 22 | 23 | 24 |
| 25 | 26 | 27 | 28 | 29 | 30 | 31 |
Tags
- git
- DB
- 책갈피
- Mac
- docker
- Package
- pytorch
- format
- pandas
- evaluation
- Converting
- KAKAO
- ubuntu
- Python
- judge
- Flask
- AI
- LLM
- numpy
- Database
- Windows
- TORCH
- Paper
- Linux
- file
- Container
- GitLab
- PostgreSQL
- list
- Laravel
Archives
- Today
- Total
Daily Develope
Elo (엘로) 평점 시스템 본문
2명이 1:1로 대전하는 게임의 각 참가자 순위 점수(rating)를 산정하기 위한 공식
기본 가정 (USCF 기준)
- (가정1) 평균 순위 점수는 1,500 점 입니다.
- (가정2) 점수 포인트는 승리의 경우 1점, 무승부의 경우 0.5점으로 환산합니다.
- (가정3) 200 점의 점수차이는 우수한 참가자가 약 0.75의 기대점수(승리 확률)를 가집니다.
- 0.75 승리비는 두 참가자 A와 B의 승리 전적이 A:B = 3:1 인 경우입니다.
순위 산정 공식
| R(갱신) = R(기존 점수) + K*(S - P) |
|---|
- R (갱신) : 기존 점수에서 승/패에 따라 갱신된 점수
- R (기존 점수) : 경기 이전 점수
- K : 가중치
- S : 승리 횟수 (승리:1, 무승부:0.5, 패배:0)
- P : 승리 확률 [아래 공식 참고]
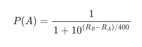
P (승리 확률)을 계산하기 위한 공식
![]() |
|---|
- R(A) : A의 순위 점수 (Rating of A)
- R(B) : B의 순위 점수 (Rating of B)
ㅇ 유도과정
(가정 3)으로부터 400 점의 차이가 나는 두 참가자는 약 10배의 승리 비율차를 나타낸다고 볼 수 있습니다.
(예, A:B = 10:1 의 승리 회수를 가지면, 승리확률은 각각 10/11 과 1/11로 10배의 차이가 발생합니다.)
1.의 과정을 수식으로 표현하면 다음과 같습니다.
![]() |
|---|
- P(A) + P(B) = 1 의 확률이므로 이를 대입해 정리하면 A가 승리할 확률 P(A)를 구할 수 있습니다.
![]() |
|---|
참고
Comments

